Daftar konstanta alam
sebagai pelengkap soal-soal.
g =10 m s-2
(kecuali diberitahukan lain)
c = 3 x 108
m/s
e = 1,6 x 10-19
C
kB = 1,38 x
10-23 J/K
me = 9,1 x 10-31
kg
NA = 6,02 x
1023/mol
mo = 4p x 10-7 H/m
G = 6,673 x 10-11 Nm2/kg2
1 sma = 931 MeV
h = 6,63 x 10-34 J
s
(4peo)-1
= 9 x 109 N m2/C2
R = 8,31 J K-1mol-1
Petunjuk A
dipergunakan dalam menjawab soal nomor 16 sampai dengan nomor 35.
16. Sebuah balok
bermassa m mula-mula bergerak ke kanan pada suatu permukaan horisontal
licin dengan kecepatan v. Balok tersebut kemudian menekan pegas dengan
konstanta pegas k. Ketika energi kinetik balok sama dengan energi
potensial pegas, besarnya jarak yang ditempuh balok saat menekan pegas adalah
...
17. Sebuah peluru
bermassa 2 kg yang ditembakkan dari tanah dengan sudut elevasi dan kecepatan
awal tertentu memiliki ketinggian
maksimum dan jangkauan maksimum 25 m dan 40 m.
Energi kinetik peluru pada saat ditembakkan adalah
...
a. 500 J
b. 580 J
c. 625 J
d. 800 J
e. 1000 J
18. Tekanan total di
dalam suatu fluida kedalaman h1 adalah P1. Sedangkan pada
kedalaman h2, tekanan totalnya adalah P2. Jika tekanan atmosfer
= P0, maka tekanan total pada kedalaman h1 + h2
adalah ...
a. P1
+ P2
b. P1
+ P2 – P0
c. P1
+ P2 + P0
d. P1
+ P2 – 2P0
e. P1
+ P2 + 2P0
19. Sebuah pegas ringan
memiliki tetapan pegas 500 N/m. Salah satu ujung pegas itu diikat pada balok
yang terletak di lantai yang cukup licin, sedangkan ujung yang lain ditarik
(lihat gambar) dengan gaya tetap, sehingga balok mengalami percepatan 5 m/s2
dan pegas bertambah panjang 1 cm. Jika di atas balok itu diletakkan sebuah
balok lain yang bermassa sama sehinga percepatannya menjadi 2,5 m/s2,
berapakah pertambahan panjang pegas sekarang?
a. 1,0 cm
b. 2,0 cm
c. 2,4 cm
d. 2,8 cm
e. 3,2 cm
20. Sebuah elektron
bergerak ke kanan horizontal memasuki suatu wilayah dengan medan magnet seragam
mengarah ke atas. Gaya yang dialami elektron saat memaskui wilayah tersebut
adalah mengarah ...
a. ke atas
b. ke bawah
c. ke luar bidang gambar
d. masuk bidang gambar
e. ke kiri
21. Sebuah induktor
dengan induktansi 10 mH, sebuah resistor, dan baterai ideal dipasangkan dalam
rangkaian secara serial. Ketika arus dalam rangkaian adalah 1 A, maka besar
energi yang tersimpan dalam induktor adalah ...
a. 5 mJ
b. 15 mJ
c. 20 mJ
d. 25 mJ
e. 50 mJ
22. Sebuah kawat tak
hingga panjang beraliran arus listrik l0 . Sebuah elektron
dilepaskan pada jarak a dari kawat dengan kecepatan awal v0
menjauhi kawat. Setelah beberapa saat arah gerak elektron menuju kawat,
kecepatan elektron ketika itu adalah ...
a. v0
b. 2v0
c. v0 ln
3
d. v0/2
e. v0 ln
2
23. Sebuah pegas dengan
konstanta pegas k dipakai untuk menggantunhkan suatu benda bermassa m.
Sistem benda pegas ini kemudian diosilasikan, dan berosilasi dengan periode T.
Pegas kemudian dipotong menjadi tiga dan ketiganya dipasangkan ke benda lain
secara paralel. Ketika benda kedua diosilasikan, periode osilasinya juga T.
Maka massa benda kedua adalah ...
a. 3 m
b. 6 m
c. 9 m
d. 12 m
e. 15 m
24. Gelombang bunyi
dengan frekuensi 256 Hz merambat di udara dengan kecepatan 330 m/s. Cepat
rambat gelombang bunyi dengan frekuensi 512 Hz di udara adalah ...
a. 82,5 m/s
b. 165 m/s
c. 330 m/s
d. 347,5 m/s
e. 660 m/s
25. Pada suatu pola
difraksi celah tunggal dengan lebar celah a. terdapat difraksi minimum pertama
pada sudut x0. Bila celah tunggal tadi diganti dengan celah ganda
berjarak d maka posisi gelap pertama tidak berubah bila ...
a. d = a
b. d = a/2
c. d = a/√2
d. d = a/3
e. d = a/√3
26. Sebuah benda yang
diletakkan 10 cm dari cermin cekung menghasilkan bayangan nyata berjarak 8 cm
dari cermin. Jika benda tersebut dipindahkan ke posisi baru sejauh 40 cm dari
cermin, maka posisi bayangan dan sifatnya adalah ...
a. 3,7 cm di depan
cermin, nyata
b. 4,2 cm di belakang
cermin, maya
c. 5,0 cm di depan
cermin, nyata
d. 6,4 cm di belakang
cermin, maya
e. 7,5 cm di depan
cermin, nyata
27. Dua lensa cembung
masing-masing dengan fokus sebesar 15 cm diletakkan terpisah sejauh 40 cm. Jika
suatu benda diletakkan 30 cm dari lensa pertama, maka bayangan terakhir yang
terbentuk akan memiliki perbesaran total sebesar ...
a. 2 kali
b. 3 kali
c. 4 kali
d. 5 kali
e. 6 kali
28. Suatu gas ideal
mengalami proses ekspansi. Selama ekspansi energi dalamnya tidak berubah. Bila
awalnya tekanannya adalah 1 x 105 Pa dan volumenya 1 m3,
maka berikut ini adalah nilai tekanan
dan volume yang mungkin bagi gas ideal tadi ...
a. P = 1 x 105
Pa, V = 2 m3
b. P = 2 x 105
Pa, V = 1 m3
c. P = 2 x 105
Pa, V = 3 m3
d. P = 0,5 x 105
Pa, V = 2 m3
a. P = 0,1 x 105
Pa, V = 3 m3
29. Pada saat air
membeku termometer X menunjukkan angka -10o X dan pada saat mendidih
menunjukkan angka 140oX. Jika termometer Celcius menunjukkan angka
30oC, maka termometer X akan menunjukkan angka ...
a. 30oX
b. 35oX
c. 37,5oX
d. 40oX
e. 45oX
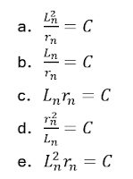
30. Pada atom Hidrogen,
besar jari-jari kulit elektron nomor n dan momentum sudutnya berturut-turut
adalah rn dan Ln dengan konstanta positif C adalah ...
31. Suatu partikel
bergerak dengan kecepatan 0,4c sepanjang sumbu-x pada kerangka S’ bergerak
dengan kecepatan 0,6c terhadap kerangka S searah dengan arah kecepatan partikel, maka kecepatan
pertikel relatif terhadap kerangka S adalah sebesar ...
a. 0,2c
b. 0,4c
c. 0,6c
d. 0,8c
e. 1,0c
32. Sebuah partikel
bermassa m dan bermuatan +q dipercepat dari keadaan diam menuju beda potensial
V, kemudian memasuki medan magnet seragam B yang arahnya tegak luruh kecepatan
partikel. Jari-jari lintasan partikel adalah ...
33. Suatu benda hitam
pada suhu T (K) memancarkan energi E. Jika dinaikkan suhunya sebesar 200oC,
energinya adalah 16 E. Jika kemudian dinaikkan lagi sebesar 200oC,
energinya adalah nE. Nilai n adalah ...
a. 32
b. 81
c. 256
d. 324
e. 1024
34. Suatu partikel
relativistik memiliki energi diam E0, momentum p dan energi K.
35. Bila diketahi jarak
bumi dan bulan adalah 380.000 km dan jari-jari bumi adalah 6400 km, maka
kecepatan minimum yang dibutuhkan bulan untuk dapat lepas dari pengaruh
gravitasi bumi adalah ... m/s
a. 1453
b. 145,3
c. 14,53
d. 1,453
e. 0,1453





EmoticonEmoticon